通知公告

您当前的位置: 首页 > 通知公告 > 正文

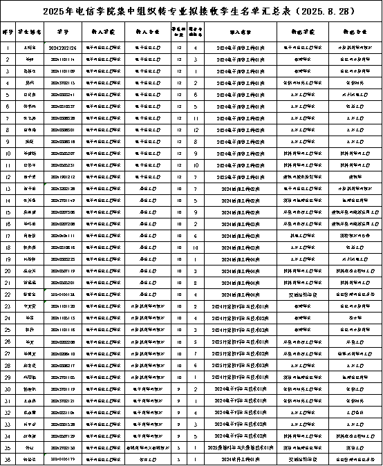
2024级电子与信息工程学院本科生转专业公示
来源: 时间:2025-08-28 作者:

经过申请报名、审核、专业面试,综合智育成绩、面试成绩,并结合各专业名额,现将拟录取情况公示如下。



公示时间:2025年8月28日-8月30日,如有疑义请联系学院教务办公室,联系电话:4955745,联系人:程老师。

                     电子与信息工程学院

                           20258月28